4MMC vs 3MMC: Which Is Stronger? A Critical Science-Based Comparison
Table of Contents
-
Introduction: 4MMC vs 3MMC
-
What Are 4MMC and 3MMC? (Product Information)
-
History of 4MMC and 3MMC
-
Chemical Composition and Structural Differences
-
Science Background: Mechanism of Action
-
4MMC vs 3MMC Effects Compared
-
Which Is Stronger? Potency and Duration Analysis
-
Health Risks and Potential Therapeutic Research
-
Positive Uses in Scientific Contexts
-
Legal Status Worldwide
-
Frequently Asked Questions (FAQ)
-
Conclusion
1. Introduction: 4MMC vs 3MMC
4MMC vs 3MMC is a common comparison in discussions about synthetic cathinones. Both substances belong to the substituted cathinone family and are structurally related to amphetamines. While often grouped together, important differences exist in their potency, duration, and neurochemical effects.
This article provides a science-based comparison of 4MMC vs 3MMC, focusing on pharmacology, strength, health risks, legal status, and research background.
2. What Are 4MMC and 3MMC? (Product Information)
4MMC (Mephedrone)
4-Methylmethcathinone (4MMC), commonly known as mephedrone, is a synthetic stimulant belonging to the cathinone class.
-
Chemical family: Synthetic cathinone
-
Alternate name: Mephedrone
-
Class: Central nervous system stimulant
-
First synthesized: 1920s (rediscovered in 2000s)
3MMC (3-Methylmethcathinone)
3MMC is a structural isomer of 4MMC, differing only in the position of the methyl group on the aromatic ring.
-
Chemical family: Synthetic cathinone
-
Structural type: Positional isomer of 4MMC
-
Emerged as alternative after 4MMC bans
3. History of 4MMC and 3MMC
Early Synthesis
4MMC was first synthesized in 1929 but gained popularity in the mid-2000s. It was widely discussed across online communities before being scheduled in many countries around 2010.
3MMC appeared later as a replacement compound after 4MMC became controlled in the UK and EU.
For historical research context, see:
🔗 National Institute on Drug Abuse (NIDA)
🔗 European Monitoring Centre for Drugs and Drug Addiction (EMCDDA)
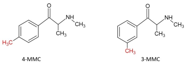
4. Chemical Composition and Structural Differences
Both compounds are derivatives of cathinone, a naturally occurring stimulant found in the khat plant.
4MMC Chemical Formula:
C11H15NO
3MMC Chemical Formula:
C11H15NO
Although they share the same molecular formula, the position of the methyl group differs:
-
4MMC → para-position (4th carbon)
-
3MMC → meta-position (3rd carbon)
This small structural shift significantly affects receptor interaction and subjective intensity.

5. Science Background: Mechanism of Action
Both 4MMC and 3MMC act as monoamine releasing agents.
They increase levels of:
-
Dopamine (reward & stimulation)
-
Serotonin (mood & empathy)
-
Norepinephrine (alertness)
Research suggests:
-
4MMC shows stronger serotonin release
-
3MMC may produce relatively more dopamine-driven stimulation
For peer-reviewed pharmacology:
🔗 PubMed Database
6. 4MMC vs 3MMC Effects Compared
4MMC Effects
-
Strong euphoria
-
Empathy increase
-
High sociability
-
Increased energy
-
Jaw tension and sweating
-
Short duration (2-4 hours)
3MMC Effects
-
Stimulation
-
Mild euphoria
-
Increased focus
-
Slightly less empathogenic than 4MMC
-
Similar duration (2–5 hours)
7. 4MMC vs 3MMC: Which Is Stronger?
When asking “Which is stronger?” the answer depends on the metric used:
Euphoria:
4MMC generally reported as stronger.
Stimulation:
3MMC may feel more focused and stimulating.
Emotional Effects:
4MMC often described as more empathogenic.
Neurochemical Intensity:
4MMC tends to release more serotonin, making effects feel more intense.
Overall, 4MMC is often perceived as stronger in terms of euphoric impact, while 3MMC may produce a more functional stimulant profile.

8. Health Risks and Potential Therapeutic Research
Risks
-
Elevated heart rate
-
Dehydration
-
Risk of compulsive redosing
-
Neurotoxicity (under investigation)
-
Dependence potential
Health Research Context
While neither is approved for medical use, studying synthetic cathinones helps researchers understand:
-
Dopamine system function
-
Addiction pathways
-
Mood regulation mechanisms

9. Positive Uses in Scientific Context
Although not approved therapeutics, research into cathinones provides:
-
Insight into stimulant pharmacology
-
Better understanding of addiction mechanisms
-
Data on structure-activity relationships
Studies of 4MMC vs 3MMC contribute to neurochemical modeling.
10. Legal Status Worldwide
Both 4MMC and 3MMC are controlled substances in:
-
United States
-
United Kingdom
-
Most EU countries
-
Australia
They are typically classified under controlled substance or psychoactive substance acts.

FAQ Section
1. What is the main difference between 4MMC and 3MMC?
The position of the methyl group on the aromatic ring, affecting serotonin and dopamine release balance.
2. Is 4MMC stronger than 3MMC?
In terms of euphoria and empathogenic effects, 4MMC is often reported as stronger.
3. Are 4MMC and 3MMC legal?
In most countries, both are classified as controlled substances.
4. Do they have medical uses?
Currently, neither is approved for medical use.
5. Why are they compared so often?
Because they are structural isomers with similar but distinct effects.
Conclusion
The 4MMC vs 3MMC comparison reveals that small structural differences can significantly impact neurochemical action and perceived strength. While 4MMC is generally considered more euphoric and intense, 3MMC may present as more stimulation-focused.
Both substances carry health risks and legal restrictions, and neither is approved for medical or commercial sale in most jurisdictions.
